Home
/ Algebraic Long Division Calculator - The Calculator Will Perform The Long Division Of Polynomials With Steps Shown Long Division Polynomials Writing Fractions, In this video we're going to learn to divide polynomials and sometimes this is called algebraic long division but you'll see what i'm talking about when we do a few examples so let's say i just wanted to divide 2x plus 4 and divide it by 2 and we're not really changing the value we're just changing how we're going to express the value so we already know how to simplify this we've done this in.
Algebraic Long Division Calculator - The Calculator Will Perform The Long Division Of Polynomials With Steps Shown Long Division Polynomials Writing Fractions, In this video we're going to learn to divide polynomials and sometimes this is called algebraic long division but you'll see what i'm talking about when we do a few examples so let's say i just wanted to divide 2x plus 4 and divide it by 2 and we're not really changing the value we're just changing how we're going to express the value so we already know how to simplify this we've done this in.
Algebraic Long Division Calculator - The Calculator Will Perform The Long Division Of Polynomials With Steps Shown Long Division Polynomials Writing Fractions, In this video we're going to learn to divide polynomials and sometimes this is called algebraic long division but you'll see what i'm talking about when we do a few examples so let's say i just wanted to divide 2x plus 4 and divide it by 2 and we're not really changing the value we're just changing how we're going to express the value so we already know how to simplify this we've done this in.. Here again is a picture of our equation: The polynomial division calculator allows you to take a simple or complex expression and find the quotient and remainder instantly. Equations inequalities system of equations system of inequalities basic operations algebraic properties partial fractions polynomials rational expressions sequences power sums pi. Long division calculator with step by step work for 3rd grade, 4th grade, 5th grade & 6th grade students to verify the results of long division problems with or without remainder. If the calculator did not compute something or you have identified an error, or you have a suggestion/feedback, please write it in the comments below.
Long division calculator is a free online tool that displays the quotient and remainder using long division method. The algebraic long method or simply the traditional method of dividing algebraic expression. Given, dividend is = 56 divisor is = 5. It is the generalised version of the long division method. But sometimes it is better to use long division (a method similar to long division for numbers) numerator and denominator.
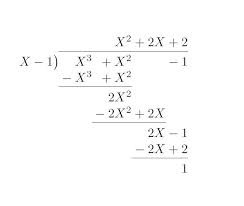
Polynomial Long Division Youtube from i.ytimg.com The number to be divided is named as dividend and the number by which we divide the dividend is termed as the divisor. A polynomial is defined as an algebraic expression with many terms. 6 graders math quiz on adding and subtracting variables, 3rd grade algebra free worksheet, create your own long division work sheet, fun lesson plans finding gcf, solving system of equation.ppt, dividing equations by factoring calculator, divide polynomials with calculator. Long division is a normal division algorithm, which is used to divide both simple and complex numbers from the dividend and divisor. Convert + 89 + to + base 3, permutation and combination real life examples, long division polynomial solver, algebra with pizzazz answers, free algebrator, mathquestionpapers, ti 84 plus emu. There are two ways to divide polynomials but we are going to concentrate on the most common method here: In its most general form, algebra is the study of mathematical symbols and the rules for manipulating these symbols; This website uses cookies to ensure you get the best experience.
In its most general form, algebra is the study of mathematical symbols and the rules for manipulating these symbols;
6 graders math quiz on adding and subtracting variables, 3rd grade algebra free worksheet, create your own long division work sheet, fun lesson plans finding gcf, solving system of equation.ppt, dividing equations by factoring calculator, divide polynomials with calculator. A polynomial is defined as an algebraic expression with many terms. If the polynomial/ expression that you are dividing has a term in x missing, add such a term by placing a zero in front of it. But sometimes it is better to use long division (a method similar to long division for numbers) numerator and denominator. Using algebraic long division method, find out the division from the dividend 56 and divisor 5. In this video we're going to learn to divide polynomials and sometimes this is called algebraic long division but you'll see what i'm talking about when we do a few examples so let's say i just wanted to divide 2x plus 4 and divide it by 2 and we're not really changing the value we're just changing how we're going to express the value so we already know how to simplify this we've done this in. Remainder calculator is a mathematical tool that has been designed to assist you in solving long division problems. If you need a long division calculator that will not just supply the quotient, but show the work necessary to divide correctly, then you've found it. Enter the expression you want to divide into the editor. Given, dividend is = 56 divisor is = 5. Use our algebra calculator at home with the mathpapa website, or on the go with mathpapa mobile app. We can give each polynomial a name: Long division calculator with step by step work for 3rd grade, 4th grade, 5th grade & 6th grade students to verify the results of long division problems with or without remainder.
( x5 − x4 + x2 − 2) ÷ ( x2 + 1) If you are entering the expression from a mobile phone, you can also use ** instead of ^ for exponents. The process for dividing one polynomial by another is very similar to that for dividing one number by another. Convert + 89 + to + base 3, permutation and combination real life examples, long division polynomial solver, algebra with pizzazz answers, free algebrator, mathquestionpapers, ti 84 plus emu. Click the blue arrow to submit and see the result!
Galois Theorem And Polynomial Arithmetic from www.doc.ic.ac.uk Practice your math skills and learn step by step with our math solver. A polynomial is defined as an algebraic expression with many terms. It gives a resultant value called as quotient. Lond division is a method to divide a number by another resulting in a quotient and remainder. But sometimes it is better to use long division (a method similar to long division for numbers) numerator and denominator. The number to be divided is named as dividend and the number by which we divide the dividend is termed as the divisor. The process for dividing one polynomial by another is very similar to that for dividing one number by another. Check out all of our online calculators here!
It is the generalised version of the long division method.
The process for dividing one polynomial by another is very similar to that for dividing one number by another. If you are entering the expression from a mobile phone, you can also use ** instead of ^ for exponents. In its most general form, algebra is the study of mathematical symbols and the rules for manipulating these symbols; We can give each polynomial a name: The number to be divided is named as dividend and the number by which we divide the dividend is termed as the divisor. Calculation of long division is explained with step by step expression with chart. If the polynomial/ expression that you are dividing has a term in x missing, add such a term by placing a zero in front of it. 'reunion of broken parts, bonesetting') is one of the broad areas of mathematics, together with number theory, geometry and analysis. If the number you're dividing by has a decimal, move the decimal point all the way to the right. Long division calculator is a free online tool that displays the quotient and remainder using long division method. Implicit multiplication (5x = 5*x) is supported. Not only that, this app also gives you a step by step explanation on how to reach the answer! This website uses cookies to ensure you get the best experience.
Practice your math skills and learn step by step with our math solver. Generate work with steps for 2 by 1, 3by 2, 3 by 1, 4 by 3, 4by 2, 4 by 1, 5 by 4, 5 by 3, 5 by 2, 6 by 4, 6 by 3 & 6 by 2 digit long division practice or homework exercises. This website uses cookies to ensure you get the best experience. Lond division is a method to divide a number by another resulting in a quotient and remainder. Divide two numbers, a dividend and a divisor, and find the answer as a quotient with a remainder.
A Polynomial Division Calculator Mathrecreation from 1.bp.blogspot.com Using algebraic long division method, find out the division from the dividend 56 and divisor 5. In its most general form, algebra is the study of mathematical symbols and the rules for manipulating these symbols; Divide two numbers, a dividend and a divisor, and find the answer as a quotient with a remainder. Implicit multiplication (5x = 5*x) is supported. Long division is a normal division algorithm, which is used to divide both simple and complex numbers from the dividend and divisor. Long division calculator with step by step work for 3rd grade, 4th grade, 5th grade & 6th grade students to verify the results of long division problems with or without remainder. If the calculator did not compute something or you have identified an error, or you have a suggestion/feedback, please write it in the comments below. Click the blue arrow to submit and see your result!
The interface is specifically optimized for mobile phones and small screens.
Implicit multiplication (5x = 5*x) is supported. Now our equation is much easier: 6 graders math quiz on adding and subtracting variables, 3rd grade algebra free worksheet, create your own long division work sheet, fun lesson plans finding gcf, solving system of equation.ppt, dividing equations by factoring calculator, divide polynomials with calculator. Remainder calculator is a mathematical tool that has been designed to assist you in solving long division problems. If you are entering the expression from a mobile phone, you can also use ** instead of ^ for exponents. The number to be divided is named as dividend and the number by which we divide the dividend is termed as the divisor. How can we solve this without guessing? A polynomial is defined as an algebraic expression with many terms. ( x5 − x4 + x2 − 2) ÷ ( x2 + 1) Online algebraic calculator to calculate long division as a step by step expression with chart from the given values of dividend and divisor. But sometimes it is better to use long division (a method similar to long division for numbers) numerator and denominator. If you need a long division calculator that will not just supply the quotient, but show the work necessary to divide correctly, then you've found it. It has variables, constants, coefficients, exponents and arithmetic operators.